中资美元债 | 12月出险房企境外债务安排一览

久期财经讯,12月31日,上月受财政部等三部门出台税收优惠政策等利好推动,各线城市商品住宅销售价格同比均收窄,为今年以来首次。本月政策端延续对房地产市场的积极态度,中央经济工作会议及全国住房城乡建设工作会议先后召开,均提到明年将持续用力推动房地产市场止跌回稳。具体而言,需求方面,要把“四个取消、四个降低、两个增加”各项存量政策和增量政策坚决落实到位,大力支持刚性和改善性住房需求;供给方面,商品房建设要严控增量、优化存量、提高质量。
本月有4家房企处置资产,其中,融创和佳兆业拟将部分所得资金用于保交楼;清盘方面,多家公司呈请聆讯延期至2025年;此外,世茂集团、金轮天地控股和时代中国控股3家公司的重组计划获逾80%债权人支持,世茂还计划召开股东特别大会,拟议重组内容包括向控股股东发行长期票据和强制可转债等。
远洋集团
高等法院已撤销原定于12月23日举行的针对远洋集团清盘呈请的聆讯,并延期至2025年2月17日。据媒体消息,本月上旬该集团境外债权人小组召开了电话会议,内容涉及境外债重组的进展及替代重组方案内容。对于此前的远洋境外债重组方案投票情况如下:B组47.7%、C组81.5%(剔除中国人寿和其关联方后未达到75%的法定门槛)、D组34.9%。该小组提出的替代方案包括允许债权人同时获得强制可转债和永续债等4个选项。据了解,该债权人小组认为,A组别作为香港特区法律管辖的银行贷款组别,不应被纳入英国法院的重组程序中强制通过,其次,C组别债权人中国人寿及其关联方大量持仓,剔除后同意比例不满足通过门槛,不应作为强制通过其他组别的依据。
富力地产
富力地产计划对3只境外债进行重组,涉及3个方案,分别为(1)兑付5%本金;(2)获得债权本金40%的高级票据及10%的强制性可转债,或如果可转债发行未获批准,将获得债权本金50%的高级票据;(3)获得债权本金100%的长期票据。该协议截止日期为2025年1月23日,届时公司将以美元高级票据(总额5000万美元)的形式向同意债权人支付同意费。此外,高等法院作出颁令,将对富力香港及兆晞的呈请聆讯延期至2025年3月31日,此前针对兆晞的聆讯原订于2025年3月5日召开。
佳兆业集团
11月底,佳兆业集团发布与重组相关的可能交易,包括根据特别授权发行强制可转债和向债权人小组成员发行股份,范围涵盖未偿还本金总额约为122.7亿美元,涉及的重组代价将通过新票据和强制可转债分派给计划债权人。根据公告,预计将向债权人小组支付的一部分费用合共2688万美元,将通过配发及发行21亿股股份支付,股价为每股0.1港元。据媒体报道,公司正寻求香港特区法院批准召开债权人会议,就有关重组计划进行表决。律师事务所DLA Piper LLP表示,这需要获得多数债权人投票支持(按价值计算的75%以及按数量计算的50%)。尽管法院批准进行投票只是程序性步骤,但该程序是公司争取对其整体债务计划支持的关键一步。
本月上旬,佳兆业集团披露了有关境外债务重组的进一步资料,佳兆业香港计划已于12月19日召开聆讯,香港特区高等法院颁令佳兆业集团及瑞景就佳兆业计划债权人及瑞景计划债权人召开会议;同时,佳兆业开曼计划于2025年1月15日召开聆讯。另外,今年9月公司曾发布公告称,清盘呈请聆讯已延期至2025年3月31日。
碧桂园
据澎湃新闻,碧桂园附属以1.55亿元竞得兰州宅地。公司表示,本次并不是主动摘地,为项目公司与当地政府在兰州项目土地摘牌的熟化成本以及市政配套建设的一些建设成本,经过洽谈,政府通过以地抵债方式支付相关款项。针对该地块,公司计划进行转让,所获资金将用于全力落实保交楼。同时,本月底公司还计划以20亿元的代价出售长鑫科技约1.56%的股本权益,交易完成后,公司将不再持有长鑫科技任何权益。此外,碧桂园地产发布公告,由于未能及时披露2023年年度报告,交易所对公司作出自律监管措施决定,目前公司仍在全力推进该年报的编制工作。
融创中国
本月融创针对10只境内债重组计划召开了债权人会议。据媒体消息,自该公司11月27日公布10只境内债重组方案以来,已有7只债券争取到债权人的支持,其中包括"PR融创01"等6只公司债券和1只ABS。对于剩下的3只债券,融创将投票表决调整至2025年1月3日。据悉,如果该方案顺利落地,该公司有望成功削减超过50%的境内债务。另外,据澎湃新闻报道,月内融创向中国贸仲委对万达集团提起仲裁,内容涉及早前两家公司联合签订的战略投资协议,融创要求万达支付相应的股份回购款,金额约95亿元。对此万达内部人士表示,融创申请冻结股权已对万达600亿元股权重组形成影响,但万达方对仲裁结果持乐观态度。此外,融创中国出售子公司持有的哈尔滨冰雪大世界46.67%股权予太阳岛集团,代价约为10.21亿元,在支付相关欠款和股权质押贷款之后,剩余约4.046亿元将划转至政府监管专户,用于融创在哈尔滨地产开发项目的保交楼。
消息面上,持有世茂集团范围内债务本金额80.72%的计划债权人支持重组,公司拟于明年1月召开股东特别大会以审议发行强制可转债等事项;金轮天地控股占现有债务工具未偿还本金总额约82.41%的持有人已加入重组支持协议;持有时代中国控股范围内债务未偿还本金总额约81.04%的债权人已加入重组支持协议;传龙光集团正努力争取一个重要债券持有人团体同意其新80亿美元离岸债务重组计划;金科股份新增6家投资人,管理人银行账户已收到上海品器联合体1.818亿元及四川发展证券基金8952万元履约保证金;华夏幸福本次信托抵债已完成,抵偿合计不超过27.99亿元金融债务;粤港湾控股拟以3600万港元向Elegance Rich Global Limited出售目标股权;上海世茂投资管理所持有的世茂股份2.65亿股股份被冻结;宝龙地产计划生效日期已于12月17日落实;景瑞控股呈请聆讯押后至2025年1月22日;传中国恒大境外子公司CEG的清盘聆讯据悉延至2025年1月10日;荣盛发展“20荣盛地产MTN002”未按期足额兑付本息;花样年“20花样01”、“20花样02”本息偿付日调整至2025年12月31日。

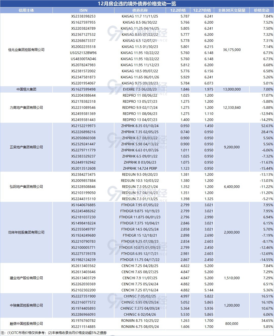
进入2024年末,两大重磅会议为房地产市场定下基调,需求端政策以“组合拳”的形式持续放松和刺激,预计2025年将继续推动房地产市场实现“止跌回稳”。地产板块整体保持稳定,出险房企债券价格涨跌互现,板块交投活跃度较上月有所下降。其中,佳兆业集团、中国恒大、力高地产、正荣地产及弘阳地产的30天主体交易量在出险中资房企中居于最高水平。
值得注意的是,本月佳兆业集团整体债务重组计划取得进展,债券回收率有望提升,投资者信心得到提振,交易活跃度随之上升。其全线境外债持续小幅上涨,近半年内均价从3美元翻倍至6美元以上,交易量维持较高水平。
中国恒大境外子公司清盘聆讯继续延期,目前恒大系债务化解问题仍未取得实质性进展,中国恒大及恒大地产存续境外债价格持续在2美元以下的低位波动。
2024年下半年,因地产利好政策持续出台,部分出险房企境外债在大盘热度带动下出现价格回升。其中,与6月初相比,华南城均价上涨超5pt至28以上,旭辉控股均价上涨超2pt至约13,碧桂园均价上涨近2pt至10以上,合景泰富集团均价上涨超3pt至9以上,世茂集团均价上涨超3pt至7以上,建业地产均价上涨超2pt至5以上。

财经号声明: 本文由入驻中金在线财经号平台的作者撰写,观点仅代表作者本人,不代表中金在线立场。仅供读者参考,并不构成投资建议。投资者据此操作,风险自担。同时提醒网友提高风险意识,请勿私下汇款给自媒体作者,避免造成金钱损失,风险自负。如有文章和图片作品版权及其他问题,请联系本站。
