种植牙集采落地后首年:瑞尔集团毛利同增近60%,实现全面盈利
6月26日,瑞尔集团公布其2023/24财年的全年业绩公告。
种植牙集采政策自2024年4月起全面实施,而瑞尔集团的最近一财年是从2023年4月1日至2024年3月31日,这使得2023/24财年成为公司在集采政策全面落地后受影响的第一个完整财年。
本财年,集团总收入攀升至17.46亿元人民币,同比增长18.5%。尽管这一数据已创下历史新高,但鉴于集采政策对整体客单价带来的显性下滑影响,单纯的收入增速或许并不足以全面反映公司的实际成长状况,相比之下,毛利或许是一个更为准确的衡量指标。本报告期,瑞尔集团实现了3.93亿元的毛利,同比增长高达58.9%。
更值得一提的是,在2023/24财年,瑞尔集团首次实现了表观利润的转正,并成功实现了全面盈利。公司的年内利润达到1,342万元人民币,同时经调整EBITDA也实现了32.9%的增长,达到3.49亿元人民币。
这一成绩不仅展示了瑞尔集团在充满挑战的外部环境中的韧性和适应能力,也为市场提供了一个重新评估种植牙集采政策影响与担忧的新视角。
一、践行“双坚持”核心策划,实现业务拓展“双进化”
在新的外部环境之中,口腔医疗机构的业务模式和服务策略面临新的挑战和机遇。复盘最近一财年,瑞尔集团之所以取得亮眼表现,很大得益于“两大坚持”,即凭借其始终坚持以基础治疗为主的服务方向、坚持以“口碑获客”的获客模式,才能在过去一年中实现了显著的业绩增长。
1、核心策略“双坚持”
一方面,公司坚持以基础治疗为主的服务方向。
口腔医疗服务市场可细分为基础治疗和可选治疗两大类。基础治疗主要包括普通牙科服务,如充填、根管治疗等,旨在保留和修复患者的自然牙齿。可选治疗则包括种植牙、正畸等,这些服务通常单价较高,毛利率也显著。
因此,不少口腔医疗机构为了快速扩张和提高盈利能力,将发展重心放在了可选治疗上。这些公司凭借着高外部融资、高价支付项目带来收入,来维持高营销支出,以吸引客户。这种“高举高打”的模式,曾帮助一些诊所在短期内实现了快速扩张。
然而,种植牙集采模式的推出打破了这一商业逻辑。集采政策使得种植牙的单价和利润率下降,那些过度依赖可选治疗的口腔医疗机构面临巨大的经营压力。
但瑞尔集团以提供高质量的口腔医疗服务为中心,尊重牙科治疗的自然规律,立足于口腔医疗服务全生命周期,因此始终坚持基础治疗为主的服务方向。截至2024年3月31日止年度,普通牙科服务的收入占公司总营收的55.5%,远高于种植牙和正畸等可选治疗服务的收入。这种均衡的业务结构使得瑞尔集团在面对种植牙集采等市场变化时能够保持稳健的经营状态。
另一方面,公司坚持以口碑获客为主的营销策略。
对于医疗服务行业来说,良好的口碑往往能够直接转化为企业的实际收入和持续增长的动力。
一直以来瑞尔集团的客户忠诚度和口碑获客效率都较高。根据最新的财报,公司存量客户的复诊率高达47.9%,21.6%的新患者来自现有客户的推荐表明公司在客户服务和体验方面做得较为出色,能够吸引并保留客户。
当现有客户对瑞尔集团的服务感到满意时,他们不仅自己会多次复诊,还会积极向亲朋好友推荐。基于信任的推荐,不仅相较于传统的广告推广和营销活动,成本要低得多,还更容易赢得更符合目标市场的新客户的信任和忠诚。
这可以得见公司稳打稳扎的经营风格,即不盲目追求高风险高回报,而是注重长期稳健的发展。这正是公司能够实现稳健成长的根本原因。
2、业务拓展“双进化”
1)聚焦同城加密实现连锁扩张
在过去的财年,集团凭借着高度标准化的连锁扩张模式,通过精细化的外部并购与自建新设施相结合,持续扩展其服务网络,确保了牙椅数量的稳步增长。
在当前融资环境趋紧、经营压力增大的市场背景下,市场上涌现出大量的并购标的,这无疑为企业提供了更多低成本扩张的机会。然而,瑞尔集团并未盲目追求快速扩张带来的短期财报利润增长,而是谨慎选择并购标的,采取了克制的并购策略。
公司整体的扩张计划也体现了较强的谨慎和计划性。公司采用同城加密的扩张方式,即在同一城市内加密服务网络,增加门店数量。口腔医疗服务市场的区域性品牌竞争激烈,异地扩张的难度较大、投资回报周期较长,而同城加密则更高效,提升品牌知名度的同时,带来更多的运营优势,降低运营成本,提高盈利能力。
在2023/24财年,瑞尔集团的同城加密战略在实践中稳步推进。公开资料显示,2023年5月,瑞泰通善口腔新吴门诊的开业标志着集团在无锡地区实现了“一城9院”的布局;同月,瑞尔齿科上海花旗诊所的盛大开业以及北京瑞泰种植疑难疾病会诊中心的成立,进一步巩固了集团在一线城市的市场地位。而在2023年9月,集团与广州瑞华口腔达成战略合作协议,收购其85%的股权,加深了集团在大湾区的布局。
2)持续优化门店结构
截至2024年3月31日,瑞尔集团已在中国15个城市成功运营了123家门店,包括113家口腔诊所及10家医院。这一庞大而精细的服务网络不仅满足了不同地区消费者的需求,也进一步巩固了公司在口腔医疗行业的领先地位。在这123家门店中,已有102家实现了盈利,显示出了瑞尔集团较强的单点培育效率。
值得注意的是,“稳健增长期门店数量”(即运营超过6年的门店)达到了81家,占比显著提升。这些门店经历了市场的考验和时间的沉淀,平均利润率已高达30%,为公司的整体业绩增长贡献了关键力量。
随着越来越多的门店成功度过了初期的培育阶段,它们已经完成了业绩的稳步爬升,现在正逐步迈入一个业绩释放的红利期。门店结构的优化和成熟门店的比重增加,为集团未来的稳健发展和市场扩张提供了强有力的支撑。
二、政策变革带来的机遇与挑战
正如开头所提到,这是种植牙集采政策实施后的首个完整财年,瑞尔集团过去一年的卓越表现有效地消除了资本市场的疑虑。作为行业的领军企业,瑞尔成了一个极佳的观察窗口,透过它可以洞察整个行业的动态。
要深入探讨集采政策对业务影响,首先要认识到其核心是‘以量换价。
正如医保改革顶层设计文件《中共中央国务院关于深化医疗保障制度改革的意见》所强调的,医药的“可及性”要增强。在口腔种植领域,集采政策的实施,经过一段时间的宣传和普及,已经使越来越多的患者认识到种植牙是治疗缺失牙的有效方式之一。这一认知的转变,加上惠民的价格,使得更多的患者得以受益。
相较于产能相对固定的公立医院,民营口腔医疗机构承接了更多增量患者。根据瑞尔集团的财报,报告期内种植颗数增长56%,业务收入达到3.58亿元,同比增长12.5%。
值得注意的是,种植牙患者很可能不仅仅“消费”种植牙服务。
在牙科治疗领域,牙医们普遍认同的原则是尽可能保留患者的自然牙齿。自然牙齿在功能、外观和感觉上往往优于人工替代品。因此,在治疗过程中,牙医会优先考虑采用充填、根管治疗等保守方法来修复牙齿损伤或治疗内部感染。只有当牙齿疾病过于严重或损伤无法逆转时,牙医才会考虑使用种植牙或其他替代疗法来恢复牙齿功能和外观,从而提升患者的生活质量。
也就是说,那些选择进行种植牙的患者,往往面临着更为严重的牙齿问题,他们对基础口腔医疗服务和牙科知识的需求也更为迫切。这类客户不仅具有较高的市场教育潜力,同时也代表着巨大的市场需求,从这个角度来看,这是优质客户。
对于瑞尔集团而言,由于其在普通牙科服务方面的良好表现,使得这个方面的直接受益者。集团可以通过种植牙服务吸引了这部分客户后,将他们转化为基础治疗(普通牙科)的忠实客户,从而增强客户生命周期价值,实现了客户价值的最大化。根据财报,集团吸引患者人次同比增加28.1%至1,965,468人次,普通牙科收入增长22.5%至9.68亿元。
值得注意的是,虽然种植牙的治疗周期相对较短,很多时候被视为一次性解决方案,但基础牙科治疗却是一个长期过程,能够吸引高频次复购的客户。因此,更长远的影响可能仍未体现在本次财报中。
市场在评估集采政策的影响时,往往更担忧其对利润的潜在负面影响。然而,事实已经证明这种担忧可能并不会成真。我们观察到,瑞尔集团毛利润的增长速度远远超过了收入增长,这主要得益于毛利率的显著提升。2024年的毛利率约为22.47%,而2023年的毛利率约为16.76%。
拆解毛利率的构成时,我们可以看到,医疗服务机构的销售成本构成较为特殊,往往由医疗材料、人力成本和折旧构成,医疗材料包括牙科手术或非手术时使用的医用材料,其成本随着销售额的增加而增长;人力成本理论上属于半可变成本,折旧费用主要包括固定资产折旧、房租摊销、设备大修的摊销等,在没有大修的情况下,每家医院的成本相对固定。
从瑞尔集团的财报可以看出,其固定成本在销售成本中占比较大。而集采政策的推行带来了业务规模的显著增长,进而有效地摊薄了单位成本,强化了规模效应,推动了毛利率的上升。
从企业整体的成本构成和经营效率来看也是这样的。让我们来粗略地划分一下固定成本与可变成本:


根据计算结果,2024年的固定成本是可变成本的大约5.59倍。某种程度上,固定成本比例较高往往会有较高的经营杠杆。

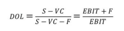
计算经营杠杆:

这表明在2024年,对于每增加1单位的销售收入,EBIT将增加约58单位。因此,集采对于撬动经营杠杆(Operating Leverage)有十分积极的作用。尤其对于处于建设期的门店来说,销量变动对利润变动的影响很大,集采有可能缩短盈利周期,更快地达到盈亏平衡点。
三、资本市场吸引力值得关注
瑞尔集团目前估值正处于历史低位,这一估值与其稳健的财务表现和未来发展潜力形成了鲜明对比。在这样的背景下,公司正积极采取措施以提升其股价。
2023年9月26日,瑞尔集团在股东大会上通过了一项重要决议,为公司在资本市场上的策略定下了明确方向。董事会被授予了一般授权,允许其回购高达已发行股份总数的10%,这一举措体现了公司对未来发展的坚定信心。
自该决议案通过以来,瑞尔集团已经成功实施了多次股份回购计划,累计回购股份数量超过1000万股,涉及资金总额超过6000万港币。此外,公司创始人也通过两次增持股份,进一步彰显了管理层与股东对公司未来发展的高度信心。
笔者关注到,近期瑞尔集团的市场交易活跃度有了显著提升,出现了大宗交易,包括高盛在内的知名机构增持了公司股份。其中高盛以每股均价 5.211 港元增持瑞尔集团(06639.HK)392.39 万股,涉资约 5044.76 万港元。此次增持后,其持股比例升至 5.31%
这不仅反映了市场对瑞尔集团价值的认可,也体现了投资者对公司未来发展的期待。
财经号声明: 本文由入驻中金在线财经号平台的作者撰写,观点仅代表作者本人,不代表中金在线立场。仅供读者参考,并不构成投资建议。投资者据此操作,风险自担。同时提醒网友提高风险意识,请勿私下汇款给自媒体作者,避免造成金钱损失,风险自负。如有文章和图片作品版权及其他问题,请联系本站。
